聯系熱線
Aeroqual臭氧傳感器 GSS 與 GSE區別 GSS: 我們的氣敏半導體傳感器使用專有傳感材料、內置自動基線校正和干擾抑制。這種組合導致 ppb 分辨率和高度線性的響應。 GSE: 我們的氣敏電化學

國標:GB/T 37397-2019 臭氧校準分析儀下載 本標準按照GB/T1.1-2009給出的規則起草。 本標準由中國機械工業聯合會提出。 本標準由全國工業過程測量控制和自動化標準化技術委員會(SAC/T

臭氧標準參考光度計的性能核查方法 C.1運行軟件程序 啟動Scaler Test程序。 C.2臭氧標準參考光度計的壓力測試 C.2.1零點調試 調節臭氧標準參考光度計電子模塊的壓力鍵至校準(CAL),穩


臭氧監測一級校準質量保證與質量控制 接上一篇文章: 臭氧校準結果計算與評價 7復校時間間隔 臭氧監測一級校準復校時間間隔一般不超過一年。 臭氧傳遞標準在證書有效期內,若出

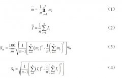
臭氧校準結果計算與評價 接上一篇: 臭氧監測一級校準方法(HJ1096-2020) 6結果計算與評價 6.1校準曲線的繪制 以臭氧標準參考光度計的測定值為橫坐標,臭氧傳遞標準的響應值為縱坐

臭氧監測一級校準方法(HJ1096-2020) 接上一篇: 臭氧監測一級校準設施的組成與要求 5.1儀器預熱 臭氧標準參考光度計開機后預熱穩定應不少于48h,臭氧傳遞標準/臭氧控制標準應充分預

臭氧監測一級校準設施的組成與要求 接上一篇: 環境空氣臭氧監測一級校準術語和定義 4.1臭氧監測一級校準設施的組成 臭氧監測 一級校準設施由臭氧標準參考光度計、零氣發生裝置

環境空氣臭氧監測一級校準術語和定義 1.適用范圍 本標準規定了環境空氣臭氧監測一級校準的要求、臭氧一級標準校準臭氧傳遞標準的方法及其質量保證與質量控制。 本標準適用于臭
